32 в степени 0

Как быстро вычислить степень числа. Степени двойки таблица информатика. Отрицательное число в нулевой степени чему равно. 32 в степени 0. Ноль в нулевой степени равно 1 доказательство.
Как быстро вычислить степень числа. Степени двойки таблица информатика. Отрицательное число в нулевой степени чему равно. 32 в степени 0. Ноль в нулевой степени равно 1 доказательство.
2 интеграл 1 (x^5-2x^3+3x+1)dx. 32 в степени 0. Интеграл от 0 до 1 x^2 1-x^2. Степень 05. Два в 32 степени.
2 интеграл 1 (x^5-2x^3+3x+1)dx. 32 в степени 0. Интеграл от 0 до 1 x^2 1-x^2. Степень 05. Два в 32 степени.
Ноль в нулевой степени. Таблица степеней 2 по информатике. Таблица 2 в степени 2. 32 в степени 0. Таблица степеней числа два.
Ноль в нулевой степени. Таблица степеней 2 по информатике. Таблица 2 в степени 2. 32 в степени 0. Таблица степеней числа два.
Два в степени таблица. 32 в степени 0. Таблица степеней по алгебре 9 класс. Как посчитать 2 в 3 степени. 32 в степени 0.
Два в степени таблица. 32 в степени 0. Таблица степеней по алгебре 9 класс. Как посчитать 2 в 3 степени. 32 в степени 0.
Возведение нуля в степень. Таблица степеней от 2 до 15 по алгебре. Математическая таблица степеней. Степени числа 2 до 20. 2 в степени таблица для информатики.
Возведение нуля в степень. Таблица степеней от 2 до 15 по алгебре. Математическая таблица степеней. Степени числа 2 до 20. 2 в степени таблица для информатики.
Таблица натуральных степеней от 2 до 10. Степени чисел от 2 до 10 таблица. 2 в 32 степени. 32 в степени. Степени двойки таблица.
Таблица натуральных степеней от 2 до 10. Степени чисел от 2 до 10 таблица. 2 в 32 степени. 32 в степени. Степени двойки таблица.
Степени двойки таблица. Как посчитать степень числа. Таблица степеней по алгебре. 32 в степени 0. Как быстро посчитать степень числа.
Степени двойки таблица. Как посчитать степень числа. Таблица степеней по алгебре. 32 в степени 0. Как быстро посчитать степень числа.
32 в степени 0. Таблица степеней по алгебре числа 2. Таблица 2 вов сех степянях. Таблица степеней 2 по информатике. Интеграл от -3 до 3 (х^3-4х).
32 в степени 0. Таблица степеней по алгебре числа 2. Таблица 2 вов сех степянях. Таблица степеней 2 по информатике. Интеграл от -3 до 3 (х^3-4х).
Таблица второй степени числа 2. Таблица возведения в степень. 32 в степени 0. Таблица степеней натуральных чисел до 10. Интеграл от 1 до 3 dx/x 2.
Таблица второй степени числа 2. Таблица возведения в степень. 32 в степени 0. Таблица степеней натуральных чисел до 10. Интеграл от 1 до 3 dx/x 2.
Таблица возведения чисел в степень. Степени 5. 32 в степени 0. Степени числа 2 таблица по информатике. Ноль в но левой степени.
Таблица возведения чисел в степень. Степени 5. 32 в степени 0. Степени числа 2 таблица по информатике. Ноль в но левой степени.
Ноль в степени. Выражение в нулевой степени. 32 в степени 0. Степени 2 в информатике таблица. Степени 2 в информатике таблица.
Ноль в степени. Выражение в нулевой степени. 32 в степени 0. Степени 2 в информатике таблица. Степени 2 в информатике таблица.
32 в степени 0. 32 в степени 0. Степени двойки таблица. 32 в степени 0. 32 в степени 0.
32 в степени 0. 32 в степени 0. Степени двойки таблица. 32 в степени 0. 32 в степени 0.
Степени 5. Степени числа 2 информатика. Возведение в 3 степень пример. 32 в степени 0. Степень 0.
Степени 5. Степени числа 2 информатика. Возведение в 3 степень пример. 32 в степени 0. Степень 0.
Таблица степеней 10 класс. Таблица степеней чисел от 1 до 10. Таблица степеней числа два. 2 5 во 2 степени. 32 в степени 0.
Таблица степеней 10 класс. Таблица степеней чисел от 1 до 10. Таблица степеней числа два. 2 5 во 2 степени. 32 в степени 0.
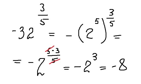
Таблица основание степени показатель степени. Таблица возведения в степень 2. 32 в степени 1/5. Таблица степеней натуральных чисел. 2 во второй степени таблица.
Таблица основание степени показатель степени. Таблица возведения в степень 2. 32 в степени 1/5. Таблица степеней натуральных чисел. 2 во второй степени таблица.
Таблица вычисления степеней. Таблица степеней 2 до 10. 32 в степени 0. Таблица степеней 2 по алгебре. Таблица корни четвёртой степени.
Таблица вычисления степеней. Таблица степеней 2 до 10. 32 в степени 0. Таблица степеней 2 по алгебре. Таблица корни четвёртой степени.
32 в степени 0. Как посчитать 2 в 3 степени. Возведение 3 в степень таблица. 32 в степени 0. Таблица степеней числа два.
32 в степени 0. Как посчитать 2 в 3 степени. Возведение 3 в степень таблица. 32 в степени 0. Таблица степеней числа два.
Степени двойки таблица информатика. Таблица чисел в кубе. Степени 2. 32 в степени 0. Интеграл от -3 до 3 (х^3-4х).
Степени двойки таблица информатика. Таблица чисел в кубе. Степени 2. 32 в степени 0. Интеграл от -3 до 3 (х^3-4х).
Таблица степеней числа два. 32 в степени. 32 в степени 0. Степени двойки таблица информатика. Таблица степеней 10 класс.
Таблица степеней числа два. 32 в степени. 32 в степени 0. Степени двойки таблица информатика. Таблица степеней 10 класс.
Таблица возведения чисел в степень. Возведение в 3 степень пример. Два в 32 степени. Степень 05. 32 в степени 0.
Таблица возведения чисел в степень. Возведение в 3 степень пример. Два в 32 степени. Степень 05. 32 в степени 0.